アモルファス固体のエネルギー地形と力学特性
- 執筆日: 2026-03-24
- トピック: amorphous-energy-landscape
- 注目論文: arXiv:2603.18317
- 参照した関連論文数: 6本
1. 導入:なぜ今、アモルファス固体のエネルギー地形に注目するのか
アモルファス固体(非晶質固体)は、ガラスウィンドウや光ファイバー、金属ガラス製品、半導体デバイスの絶縁膜など、私たちの身の回りに溢れている材料である。にもかかわらず、その「なぜ固いか」「どこで折れるか」「どのように流れるか」という力学特性は、結晶材料と比べて驚くほど理解が浅い。
結晶材料では、原子は周期的に配列しており、転位( dislocation)という欠陥が塑性変形を担うというクリアな描像がある。しかしアモルファス材料には、そもそも「格子」が存在しない。原子配列は局所的な短距離秩序を持ちながらも、長距離では完全にランダムだ。このため、「どの原子が、いつ、どの方向に動いて変形が起こるか」を予測することは、長年にわたって材料科学の未解決問題の一つであり続けてきた。
この問いに答えるための概念的枠組みとして、ポテンシャルエネルギー地形(Potential Energy Landscape, PEL)という概念が1980年代後半から注目されてきた。PELとは、N個の原子からなる系の全ポテンシャルエネルギーを、
ではなぜ今、あらためてこの枠組みが重要なのか。答えは二つある。
第一に、分子動力学(MD)シミュレーションの計算能力と機械学習ポテンシャル(MLIP)の急速な発展により、ナノ秒・ナノメートルスケールの原子運動を高精度かつ大規模に追跡できるようになったことである。これにより、拡散・粘性・塑性変形を原子レベルで直接観察し、エネルギー障壁の統計的特性を系統的に調べることが可能になった。
第二に、実験的計測技術の革新——特に電子線照射を制御変数として使う手法や、ナノビーム電子回折による局所構造解析の精緻化——により、アモルファス材料の構造と力学応答の関係を直接的に検証する道が開かれてきたことである。
2026年3月、カリフォルニア大学とウィスコンシン大学マディソン校のグループは、「非対称なエネルギー障壁が相関運動を介してガラスの拡散を支配する」という新しい知見をarXivに発表した(arXiv:2603.18317)。この論文は「局所的な障壁の高さ」ではなく「前進障壁と後退障壁の非対称性」が拡散の活性化エネルギーを規定するという、従来の直感に反する発見を示している。そして驚くべきことに、この知見は金属ガラス、シリカガラス、Lennard-Jonesガラスという化学的に全く異なる三種類のアモルファス系に共通して成り立つという。
本稿では、この注目論文を核として、アモルファス固体における拡散・粘性流動・塑性変形を統一的に理解するための最新の研究動向を解説する。地形の幾何学が原子運動をどう制約するか、その制約が力学変形においてどう現れるか、そしてそれを直接観察・利用する実験的アプローチはどこまで来ているかを、順を追って見ていこう。
2. 解決すべき問い
アモルファス固体の構造と力学特性をつなぐ研究が目指す問いは、大きく三つに整理できる。
問い1:なぜ低障壁の局所再配列が、巨大な活性化エネルギーをもつ拡散につながるのか?
ガラスの中では、個々の原子が近傍原子と入れ替わる際に越える障壁(局所障壁)は、数百メV(メガ電子ボルト)程度であることが多い。しかし、拡散係数
問い2:原子スケールの局所再配列は、どのように集団化して「塑性変形」へと成長するか?
結晶では転位という集団的なキャリアが存在する。アモルファスでは? せん断変換帯(Shear Transformation Zone, STZ)という概念が提案されているが、それがトポロジカルに定義できるか、どう空間的に相関するかは、ここ数年急速に明らかになりつつある。
問い3:ガラスの種類(酸化物ガラス、金属ガラス、コロイド系)を超えて、普遍的な力学応答の枠組みは存在するか?
シリカガラスは Si-O 結合が強固なネットワークを形成し、金属ガラスは密充填した金属原子の集合体だ。コロイドガラスはサブミクロン粒子の懸濁液である。これらは化学的に全く異なるが、塑性変形の様式に共通点はあるのか? もしあるとすれば、それはどのような構造的・幾何学的要因が支配しているのか?
これらの問いは互いに絡み合っており、「PELの統計的性質」「局所再配列のトポロジー」「実験的観察手法」という三つの軸で同時に進展しつつある。
3. 注目論文は何を新しく示したのか
非対称エネルギー障壁と相関運動(arXiv:2603.18317)
Annamareddy ら(2026)の論文の中心的主張を理解するには、まず「相関因子」という概念を押さえる必要がある。
原子がランダムウォーク(前の移動方向に無関係にランダムに跳ぶ)をするなら、拡散係数は単純に
と分解できる(
同論文の主要な発見は:ガラスの拡散において、

図1: アモルファス固体のポテンシャルエネルギー地形の模式図(arXiv:2603.18317, CC BY 4.0)。初期状態から鞍点を越えて最終状態へ移行する際、前進障壁
では、なぜ後退確率が高くなるのか? 鍵は「エネルギー地形の非対称性」にある(図1参照)。あるアモルファス原子が局所的な障壁を越えて「前進」すると、多くの場合、前進先の局所最小エネルギーの方が出発点よりも高い(不安定)。このとき後退障壁
ここで

図2: 実際のMDシミュレーションにおける原子軌跡(左)と、相関を除去したランダムウォーク軌跡(右)の比較(arXiv:2603.18317, CC BY 4.0)。実軌跡では折り返し(前後相関)が顕著に見られるのに対し、ランダムウォーク軌跡では直進的に拡散している。この違いが相関因子
重要な点は、この機構が金属ガラス(CuZr)・シリカガラス(SiO₂)・単成分Lennard-Jonesガラスという、化学的に異なる三系統で普遍的に成立することである。これは、この相関メカニズムが特定の化学結合に依存せず、アモルファス構造が持つ幾何学的な不規則性そのものから生じる普遍的な現象であることを示唆している。
さらに同論文は、表面での拡散加速についても重要な知見を与えている。表面での見かけの活性化エネルギーが小さいのは「局所障壁が低いから」ではなく、「相関(後退確率)が弱くなるから」であるという。これは材料の表面拡散や結晶化ダイナミクスの制御に重要な示唆をもつ。
4. 背景と文脈:この注目論文はどこに位置づくか
ガラス転移とポテンシャルエネルギー地形の現代的理解
アモルファス固体の物性を理解するための理論的枠組みとして、Goldstein(1969)以来、PELの概念が中心的役割を果たしてきた。液体を冷却していくと、まず超冷却液体(結晶化しないまま過冷却された液体)が形成される。この過程でポテンシャルエネルギー地形上の「谷」(inherent structure)の探索がスローダウンし、ガラス転移温度
ガラス転移付近の動力学異常の一つが、Stokes-Einstein(SE)則の破れである。液体では通常、拡散係数
(
2026年1月、Ma らのグループ(arXiv:2601.13046)は、Cu₅₀Zr₅₀金属ガラス形成液体のMDシミュレーションにより、この動的異常の熱力学的起源を探った。彼らは温度-密度相図上に「Griffiths的な領域(Griffiths-like region)」を特定した。この領域は、液相・気相・ガラス相が「フラストレーション状態」で共存する熱力学的に特異な点であり、等圧熱容量

図3: Cu₅₀Zr₅₀ 金属ガラス形成液体のMDシミュレーションセル(arXiv:2601.13046, CC BY 4.0)。青球:Cu原子、黄球:Zr原子。このシステムを様々な温度・密度条件でシミュレーションし、Griffiths的な領域を特定した。
この「Griffiths的領域」という概念は、注目論文の議論と深く共鳴する。SE則の破れは「相関因子
構造から「柔らかさ」へ:局所構造と塑性変形の橋渡し
もう一つの重要な背景は、「局所構造指標(local structure descriptor)」の発展である。アモルファス固体中で塑性変形を起こしやすい局所構造(「柔らかい(soft)」部位)を、変形前の原子配置から予測できるかという問いは、長年挑戦されてきた。Voronoi多面体による解析から、機械学習を用いたsoftness場の計算まで、多くのアプローチが提案されてきた。これらの研究と注目論文の発見を繋げると、「局所的にエネルギー障壁の非対称性が大きい(前進してもすぐ戻るような)構造」が力学的に「柔らかい」部位と対応している可能性が高く、今後の精密な検証が期待される。
5. メカニズム・解釈・比較:拡散から塑性変形へ
せん断変換帯(STZ)とEshelby介在物
アモルファス固体の塑性変形の基本単位として、Argon(1979)が提案した「せん断変換帯(Shear Transformation Zone, STZ)」がある。STZとは、約10〜100個の原子からなる局所的な領域が協同的にせん断変換(準等体積的な局所せん断歪み)を経る過程である。個々のSTZは小さく、せん断帯(shear band)にはならないが、これらが空間的に相関して連結すると、巨視的なせん断帯(shear band)を形成し、最終的な破壊につながる。
力学的には、一つのSTZは弾性体中の「Eshelby介在物(Eshelby inclusion)」としてモデル化できる。Eshelbyの理論(1957)によれば、均一なせん断歪み
Eshelby事象のトポロジカルな同定(arXiv:2505.23069)
Bera ら(2025)のarXiv:2505.23069では、Eshelby的な塑性事象を連続Burgersベクトルというトポロジカル量によって一意に同定する手法を提案している。
結晶中のBurgersベクトルは、転位を囲む閉回路の変位の和として定義される離散的な量である。著者らはこれをアモルファス系に拡張し、連続変位場
と定義した(積分路

図4: Eshelby介在物まわりのBurgersベクトル場の強度(左:
この手法は従来のD²_min法(非アフィン変位の大きな領域を特定する方法)や渦度に基づく方法と比較して、塑性事象の中心をより精確に特定でき、複数の事象が重なった場合にも分離できるという利点がある。
2次元実験系における塑性変形のトポロジカル描像(arXiv:2507.03771)
Wang らは2次元の光弾性ディスク系(顆粒系)を用いた実験で、変位場のトポロジカル欠陥(渦型欠陥:巻き数
巻き数(winding number)とは、閉曲線を一周したとき変位ベクトルが何回転するかを数えた整数値であり、
として定義される(
実験系を純粋せん断変形させると、小ひずみ領域(弾性域)では欠陥は散在して相関が弱いが、降伏点(

図5: 2次元アモルファス顆粒系(純粋せん断変形)における、異なるひずみ
この2次元実験結果とBurgersリングの理論的描像は、相互に補完している。STZによる局所変換(Eshelby事象)がBurgersリング(またはトポロジカル欠陥)として表現でき、それらの空間的相関とクラスター化がせん断帯形成に直結する、という統一的な絵が描けてきた。
注目論文(2603.18317)との関係で言えば、「非対称エネルギー障壁が支配する相関運動」はSTZ活性化のミクロな起源と見なせる。前進してすぐ後退する原子運動が繰り返されるうちに、ある閾値を超えた時点で後退が起きずに「真の塑性事象」として固定化され、STZ(Eshelby事象)として発現する——こうした描像が浮かぶ。これは今後の検証が求められる重要な仮説だ。
6. 材料・手法・応用への広がり
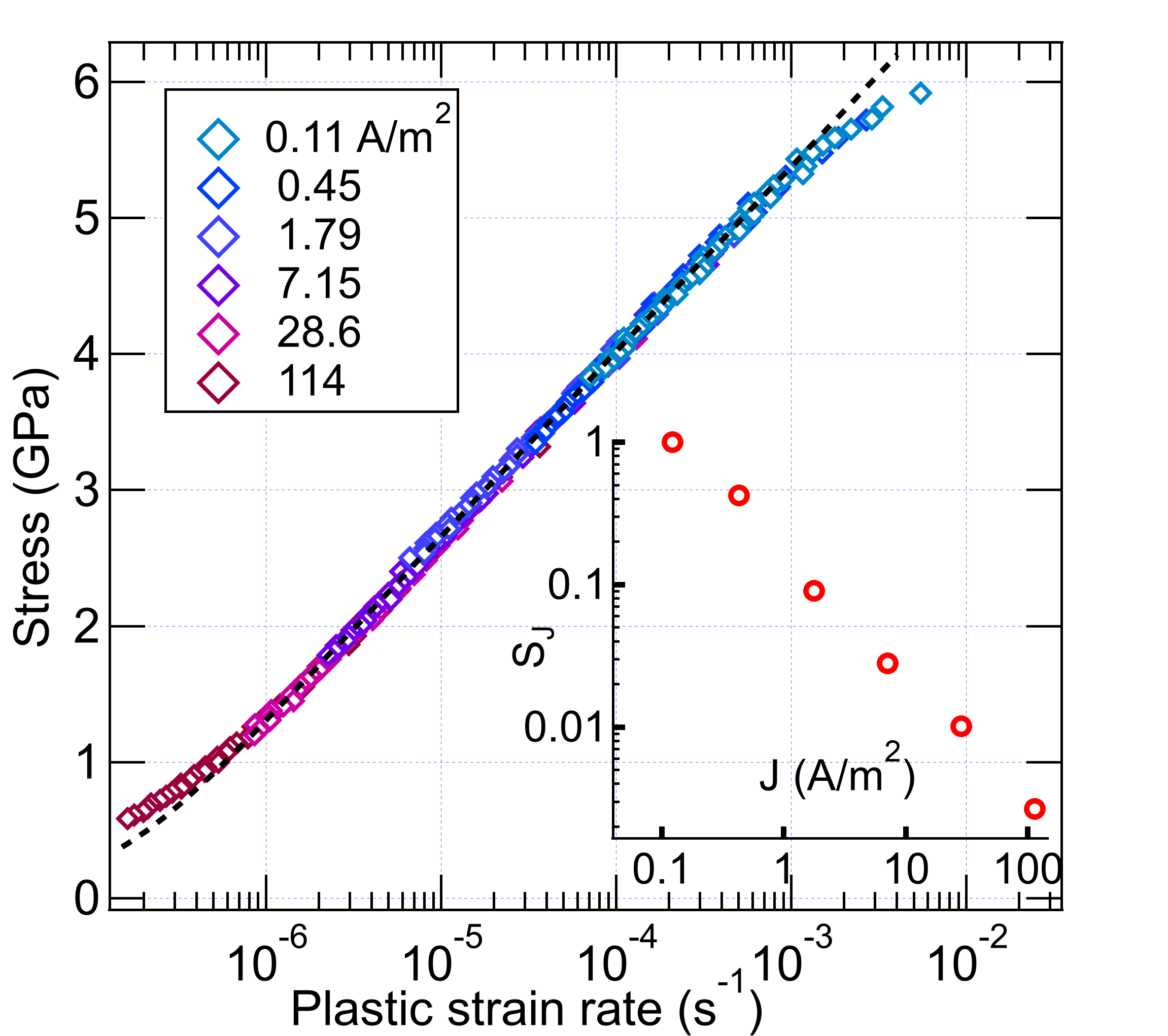
電子線照射で制御する非晶質ケイ酸塩の塑性流動(arXiv:2603.19816)
アモルファス材料の塑性流動を実験的に精密に研究することは、通常の応力印加では変形挙動を独立に制御しにくいという困難がある。Bourguignon らは電子線照射を「第2の制御変数」として利用することで、この困難を突破した(arXiv:2603.19816)。
電子線照射により、ガラス中に「自己捕捉励起子(Self-Trapped Exciton, STE)」が生成される。STEは約1 μs の寿命を持つ準安定な電子的励起状態であり、Si-O ネットワークを一時的に弱体化させることで、熱活性化による再配列を補助する「ソフト欠陥」として機能する。電子線電流密度
この手法から得られた最も重要な知見が「時間-電流重ね合わせ(time-current superposition)」の発見である。異なる電流密度で測定した応力-塑性ひずみ速度曲線は、横軸(ひずみ速度)をスケーリング因子

図6: 異なる電子線電流密度(0.11〜114 A/m²)での応力 vs 塑性ひずみ速度データを、時間-電流重ね合わせによりシフトして得たマスター曲線(arXiv:2603.19816, CC BY 4.0)。挿入図:スケーリング因子
この結果は、プラスチック流動曲線が Eyring 速度論に従う形
で記述できることと整合する。しかしより興味深いのは、この流動則の温度依存性が既存の理論モデルと矛盾するという発見だ。温度を
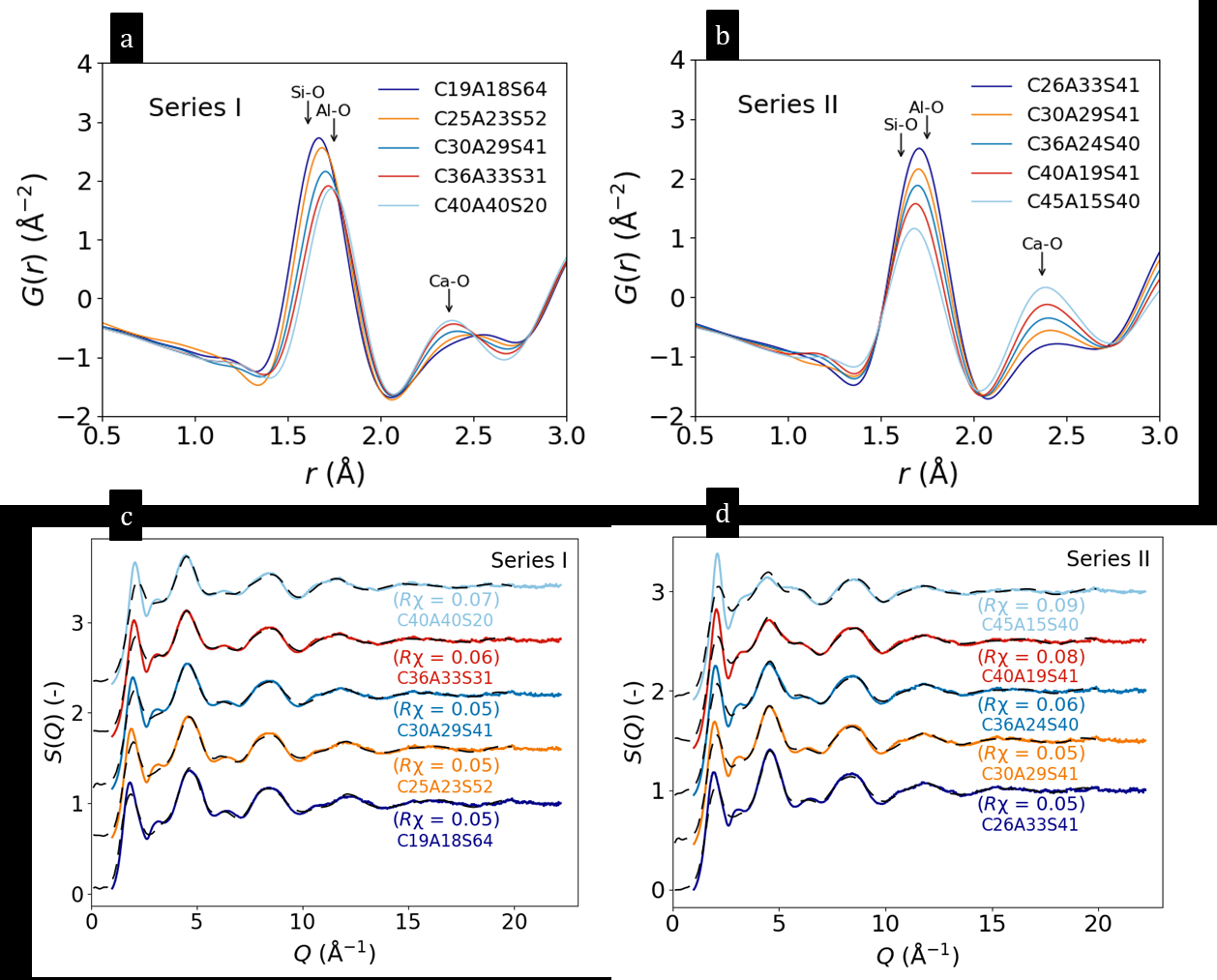
結合交換と酸化物ガラスの破壊靭性(arXiv:2601.16940)
力学特性の中でも「破壊靭性
このガラス系では、Al³⁺ イオンが[AlO₄](4配位)と[AlO₅](5配位)の間で配位数を切り替える「結合交換(bond switching)」という局所的な構造変化が起こりうる。シミュレーションから、このAl原子の配位数変化(結合交換)の活性度が、破壊靭性と正の相関を持つことが示された。

図7: 2つのガラス系列(Series I:SiO₂濃度変化、Series II:Al/Ca比変化)の動径分布関数
このAl結合交換という描像は、注目論文の「エネルギー障壁の非対称性」と接続できる。破壊靭性の高いガラスでは、クラック先端での結合交換が盛んに起こり、エネルギーを散逸させ、亀裂進展を抑制する。この結合交換自体が「局所的な再配列障壁」を超える過程であり、その前進・後退のしやすさ(障壁非対称性)が、材料の靭性を規定していると見なせる。つまり、エネルギー地形の幾何学が、破壊靭性という巨視的力学量を支配しているという視点が成立する。
コロイドガラスにおける二重降伏現象(arXiv:2503.07436)
材料のスケールをナノから数百ナノメートルに拡大すると、コロイド粒子の懸濁液もガラスのような力学応答を示す。Mutneja と Schweizer は、引力と斥力が共存する高密度コロイドサスペンションの降伏挙動について、顕微鏡的な理論を構築した(arXiv:2503.07436)。
引力強度が強い系では、「一次降伏(まず引力結合が切れる)」と「二次降伏(ケージを壊して大変位が可能になる)」という**二段階降伏(double yielding)**が現れる。これは「二つの特徴的な障壁高さ」が順次克服される過程として理解できる。同論文では、引力強度・充填率・変形速度の三つのパラメータからなる「相図」で、単一降伏・プラスチック的応答・二重降伏の境界を理論的に予測し、実験と定性的に一致することを示した。
この知見は、注目論文の地形描像と深く整合する。コロイド系の「二段階降伏」は、PEL上での「引力井戸(短距離)」と「ケージ(近距離相互作用全体)」という二層構造の障壁に対応する。二つの障壁の非対称性(それぞれの前進・後退障壁の差)が、二段階降伏の出現とその条件を規定しているのだ。このアナロジーは、金属ガラスやシリカガラスにも「異なる特徴的スケールの二段階障壁」が存在する可能性を示唆する。
7. 基礎から理解する
7.1 ポテンシャルエネルギー地形(PEL)
局所極小(inherent structure, IS):PEL上の谷底に対応し、エネルギー極小配置を表す。温度
鞍点(saddle point):二つのISを結ぶ最小エネルギー経路上の最大値で、一つの方向で極大・残り全方向で極小になっている点。原子が一つのISから別のISに移行するには、この鞍点を越える必要がある。
活性化エネルギー:
7.2 拡散係数と相関因子
原子の拡散係数は、平均二乗変位(MSD)から
として定義される。Bardeen-Herringの相関因子理論によれば、
ここで
と書ける(
前進確率
すなわち
7.3 せん断変換帯(STZ)理論
Argon(1979)のSTZ理論では、アモルファス材料中の局所領域(数十原子程度)が協同的なせん断変換を経ることで、塑性変形が起きると考える。STZの活性化自由エネルギーは、
ここで
流動応力の温度依存性は、
7.4 Eshelby介在物と変位場の四重極構造
弾性体(せん断弾性率
となり、遠方では
7.5 連続Burgersベクトルと巻き数
結晶のBurgersベクトル
は、変位場に不連続性(転位状の位相奇点)を囲む場合のみ非ゼロとなる。Eshelby事象は四重極対称の変位場を持ち、その「中心」を囲む適切な閉曲線上でこの積分がリング状に明確な値を持つ(Burgersリング)。
巻き数(winding number)は2次元変位場の方位角
と定義される整数値である。
8. 重要キーワード10個の解説
1. アモルファス固体(amorphous solid) 長距離周期秩序を持たない固体状態。原子配列は完全なランダムではなく、ボンド長・ボンド角に対応する短距離秩序(数 Å 〜 数十 Å)を持つが、結晶のような数 μm スケールの長距離秩序はない。数式的には、動径分布関数
2. ポテンシャルエネルギー地形(PEL)
3. 相関因子(correlation factor,
4. エネルギー障壁の非対称性(asymmetry of energy barriers) ある局所最小から鞍点を越えて別の局所最小へ移行する際、前進障壁
5. せん断変換帯(Shear Transformation Zone, STZ) アモルファス固体中の数十原子程度からなる局所領域が、準等体積的な協同せん断変換を経て不可逆的な原子再配列を起こす過程。塑性変形の基本単位。活性化自由エネルギーは
6. Eshelby介在物(Eshelby inclusion) 均一線形弾性体中に埋め込まれた、固有ひずみ
7. 動的不均一性(dynamic heterogeneity) ガラス形成液体の冷却過程で、原子の運動速度(拡散率)が空間的に大きく不均一になる現象。「速く動く原子群(mobile clusters)」と「遅く動く原子群(immobile clusters)」が共存し、そのクラスターサイズは
8. Stokes-Einstein関係式の破れ 液体では通常
9. 破壊靭性(fracture toughness,
10. 時間-電流重ね合わせ(time-current superposition) 異なる電子線電流密度
9. まとめと今後の論点
本稿では、アモルファス固体のエネルギー地形と力学特性をつなぐ最新の研究動向を、2026年3月発表の注目論文(arXiv:2603.18317)を中心に整理した。
注目論文の核心的なメッセージは:アモルファス固体の拡散における見かけの活性化エネルギーは、局所再配列の障壁高さではなく、前進・後退障壁の非対称性がもたらす相関運動によって支配される——という点である。この知見は、金属ガラス・シリカ・LJガラスという化学的に全く異なる3系で普遍的に成立し、アモルファス構造が持つ幾何学的不規則性そのものに起源を持つ。
この発見を取り巻く関連研究をまとめると:
ガラス転移の熱力学的起源(arXiv:2601.13046): Griffiths的フラストレーション領域が Stokes-Einstein 則の破れを引き起こし、これが障壁非対称性の温度依存性と対応する可能性がある。
局所降伏面の構造依存性(arXiv:2603.16905、本稿では文章で引用): 局所降伏面の各特徴がSTZに対応し、圧力感受性を含む3パラメータのSchmid-Mohr-Coulombモデルで記述できる。
トポロジカル欠陥としての塑性キャリア(arXiv:2507.03771): 2次元実験系で変位場の巻き数欠陥が塑性キャリアとして機能し、そのクラスター化がせん断帯形成を引き起こす。
Eshelby事象のBurgersリング同定(arXiv:2505.23069): 連続Burgersベクトルが塑性事象を一意に同定し、その中心と向きを精確に特定できる。
電子線照射下でのシリカ塑性流動(arXiv:2603.19816): 時間-電流重ね合わせが成立するが、温度依存性が既存モデルと矛盾し、相関因子機構による再解釈が示唆される。
結合交換と破壊靭性(arXiv:2601.16940): Al原子の配位数変化(結合交換)の活性度が破壊靭性と相関し、局所障壁の非対称性が破壊挙動を制御する可能性がある。
今後の重要な論点
論点1:相関因子
論点2:障壁非対称性の統計分布を支配する「短距離秩序の定量指標」は何か? 5配位多面体の割合、Voronoi多面体の形状パラメータ、あるいは機械学習で学習したdescriptorのどれが、
論点3:機械学習ポテンシャル(MLIP)を用いた大規模シミュレーションにより、Eshelby事象の弾性相互作用をより現実的な多成分系(工業ガラス組成)で追跡できるか? 特に、破壊靭性や延性-脆性転移温度を組成設計から予測する逆問題への接続が期待される。
論点4:時間-電流重ね合わせ(arXiv:2603.19816)の温度依存性の矛盾は、相関因子機構の他に何が考えられるか? 電子線誘起のネットワーク切断(永続的構造変化)が塑性流動場を変えている可能性も排除されておらず、実験的な検証が必要だ。
論点5:コロイド系の二重降伏(arXiv:2503.07436)で予測された「相図」は、金属ガラス系に類似の二段階応答として観測できるか? 引力ポテンシャルを模擬する異種原子間相互作用の変化(例:Cu-Zr系の組成比)が、二重降伏の出現に対応するかは未検証の問いである。
アモルファス固体の力学特性は、「構造無秩序の中に宿るエネルギー地形の幾何学」によって決まる。この幾何学を定量化し、設計変数として操作できれば、軽量・高強度・高靭性の次世代金属ガラスや、脆性破壊を抑制した高機能窓ガラスの実現に直結する。PELの観点、トポロジーの観点、実験的制御の観点が融合しつつある現在、アモルファス力学特性の研究は新たな加速段階に入ったと言えるだろう。
10. 参考にした論文一覧
| No. | arXiv ID | タイトル | 著者 | 分類 | ライセンス |
|---|---|---|---|---|---|
| 1 | 2603.18317 | Asymmetric Energy Landscapes Control Diffusion in Glasses | Annamareddy et al. | 注目論文 | CC BY 4.0 |
| 2 | 2603.19816 | Amorphous Silicates -- Time-Current Superposition and the Dynamics of Plastic Flow in the Glassy State | Bourguignon et al. | 関連論文 | CC BY 4.0 |
| 3 | 2601.16940 | Connecting bond switching to fracture toughness of calcium aluminosilicate glasses | Johansen et al. | 関連論文 | CC BY 4.0 |
| 4 | 2601.13046 | Griffiths-like region explains the dynamic anomaly in metallic glass-forming liquids | Ma et al. | 関連論文 | CC BY 4.0 |
| 5 | 2507.03771 | Topological defects govern plasticity and shear band formation in two-dimensional amorphous solids | Wang et al. | 関連論文 | CC BY 4.0 |
| 6 | 2505.23069 | Burgers rings as topological signatures of Eshelby-like plastic events in glasses | Bera et al. | 関連論文 | CC BY 4.0 |
| 7 | 2503.07436 | Microscopic Theory of Nonlinear Rheology and Double Yielding in Dense Attractive Glass Forming Colloidal Suspensions | Mutneja & Schweizer | 関連論文 | CC BY 4.0 |
| 8 | 2603.16905 | Quantifying the Features of an Amorphous Solid's Local Yield Surface | Fajardo et al. | 参考文献(図なし) | arXiv非独占ライセンス |
本稿で使用した図はすべて Creative Commons Attribution 4.0 International (CC BY 4.0) ライセンスのもとで公開されている論文から引用し、適切な帰属表示を付した。