2026-03-20 量子マテリアル
作成日: 2026年3月20日 対象期間: 2026年3月17〜20日(過去72時間の新着)
選定論文一覧
- 2603.18537 カゴメ平坦バンド二重項の共鳴観測(CsCr₆Sb₆)【重点】
- 2603.17905 UTe₂における四臨界点と多成分超伝導の熱力学的発見【重点】
- 2603.18906 量子異常ホール絶縁体の局所・長距離磁気秩序の磁気イメージング【重点】
- 2603.19107 強誘電体p波磁石:電気的スイッチング可能なスピン偏極状態
- 2603.19179 LSMO/SROスーパーラティスにおける界面磁気結合とスピンダイナミクス
- 2603.18672 レーザー光電子分光によるカゴメ金属CsCr₃Sb₅のフェルミ面観測
- 2603.18155 ドープ5d²二重ペロブスカイトにおけるポーラロン駆動八極子秩序スイッチング
- 2603.18445 2次元強相関半金属における空間的間接励起子凝縮
- 2603.17777 非磁性無秩序導入による量子臨界点到達:(Ca,Sr)₃Rh₄Sn₁₃
- 2603.18722 フェリ磁性体における直流電流駆動の可逆定常磁壁運動
全体所見
今回は2026年3月17〜20日の新着論文から10本を選定した。カゴメ量子金属の平坦バンド物理を実験的に深掘りした2本(2603.18537、2603.18672)、多成分超伝導とトポロジカル超伝導の理解に直結するUTe₂研究(2603.17905)、トポロジカル絶縁体・磁性トポロジカル絶縁体の材料・デバイス研究(2603.18906、2603.17868)がある。また、強誘電秩序と磁気秩序を組み合わせた新磁石クラス「p波磁石」の理論的予言(2603.19107)、酸化物ヘテロ構造の界面磁性・スピントロニクス(2603.19179)、強相関5d²ペロブスカイトの多極子秩序制御(2603.18155)、遷移金属カルコゲナイドにおける励起子絶縁体の理論(2603.18445)、量子臨界点の無秩序チューニング(2603.17777)、フェリ磁性体の慣性的磁壁ダイナミクス(2603.18722)を取り上げた。実験と理論・計算が相補する論文が多く、量子効果の材料学的制御と巨視的機能評価という観点から、いずれも重要な知見を提供している。
第一部:重点論文の詳細解説
カゴメ平坦バンド二重項の共鳴観測
1. 論文情報
タイトル: Observation of Resonance of Kagome Flat Band Doublet著者: Renjie Zhang, Bei Jiang, Xiangqi Liu, Hengxin Tan, Xuefeng Zhang, Mojun Pan, Quanxin Hu, Yiwei Cheng, Chengnuo Meng, Yudong Hu, Yufan Zhao, Runze Wang, Dupeng Zhang, Junqin Li, Zhengtai Liu, Mao Ye, Ziqiang Wang, Yaobo Huang, Gang Li, Yanfeng Guo, Hong Ding, Baiqing Lv arXiv ID: 2603.18537 カテゴリ: cond-mat.str-el 公開日: 2026年3月19日 論文タイプ: 実験論文(ARPES・理論モデリング) 掲載誌: Nature Communications(受理済み) ライセンス: arXiv 非独占的配布ライセンス(原図抽出不可)
2. どんな研究か
カゴメ金属CsCr₆Sb₆は、クロム原子が二層カゴメ格子を形成する準2次元物質であり、フェルミ面近傍に複数の平坦バンドを持つ。本研究はARPES(角度分解光電子分光)と理論モデリングを組み合わせ、この系に「平坦バンド二重項(flat band doublet)」と分散バンドが共存することを実験的に初めて直接観測し、冷却に伴って両者の間に劇的なスペクトル強度増強とハイブリダイゼーションが起きることを示した。この共鳴現象は従来の近藤格子描像では説明できず、カゴメ格子固有の幾何学的フラストレーションと反強磁性相互作用の絡み合いから生じる新しい量子現象として解釈される。
3. 研究の概要
背景と目的
カゴメ格子金属は、その幾何学的フラストレーションに由来する平坦バンドと、ファン・ホーフ特異点、ディラック点という三つの特徴的なバンド構造を持ち、電荷密度波(CDW)・超伝導・非従来型磁性などの競合相が現れる系として注目されてきた。特にAV₃Sb₅系(A = K, Rb, Cs)やRV₆Sn₆系が集中的に研究されてきたが、二層カゴメ構造を持つCsCr₆Sb₆は、これらとは異なりCr原子に由来する反強磁性的相関が支配的で、CDWや超伝導は報告されていない。この系の平坦バンドの起源と、磁性との関係を電子構造レベルで明らかにすることが本研究の動機である。
解こうとしている物理問題
二層カゴメ構造において、二枚のカゴメ層が層間結合(interlayer coupling)によってどのように平坦バンドを変調するか、また平坦バンドに内在する電子の局在傾向と反強磁性交換相互作用がどのように結びつくかという問いに答える。特に、低温で観測されるスペクトル強度の増強が近藤効果(局在f電子と伝導電子の混成)によるものか、それとも別の機構によるものかを判定する。
対象材料系
CsCr₆Sb₆:Cs原子を挟んだ二枚のCrSb層(各層がカゴメ格子)からなる準2次元金属。Cr 3d電子が平坦バンドの主体。Sbはポニクタイドとして格子骨格を形成。CsCr₃Sb₅やCsCr₆Sb₆ファミリーは近年の新しいカゴメ金属研究対象。
材料創製法・構造制御法
単結晶試料を用いたと推定される(詳細は論文本文参照)。ARPESの測定では、試料の清浄表面をin situ劈開して用いることが標準的。
主な測定手法・理論手法
- ARPES:多温度でのバンド構造・フェルミ面・スペクトル関数の詳細観測
- 密度汎関数理論(DFT)バンド計算:実験バンドの帰属と比較
- 多軌道ハバードモデル:相関効果を含む平坦バンド二重項の理論的記述
主な結果
フェルミ準位近傍に、層間結合によって分裂した二本の平坦バンド(平坦バンド二重項)を直接観測。これらは単独では孤立した平坦バンドとして振る舞うが、温度を下げると分散バンドとの間でスペクトル強度が増強し、両者のハイブリダイゼーション(共鳴)が顕在化する。この共鳴は反強磁性的スピン相関が発達する温度スケールと対応しており、近藤格子が示す典型的なコヒーレンスクロスオーバーとは異なるメカニズムを示唆する。
著者の主張
カゴメ二層金属における平坦バンド二重項の共鳴は、格子の幾何学的フラストレーションと反強磁性交換相互作用によって引き起こされる新しい量子現象であり、近藤効果とは本質的に異なる。この機構は単層・二層カゴメ金属における多体効果の理解に新しい視座を与える。
4. 量子物性・材料工学として重要なポイント
本研究が扱う量子自由度は、Cr 3d電子の局在-遍歴二重性とスピン自由度であり、カゴメ格子の幾何学的フラストレーションが平坦バンドという「局在性を内包した状態」を生む点が本質的である。二層積層による層間結合がこの平坦バンドをさらに二重項に分裂させ、系に複数の低エネルギー自由度を導入する。それらが反強磁性相互作用の発達とともに分散バンドと共鳴するという描像は、カゴメ金属特有の多体効果として重要である。測定手法としてのARPESは準粒子スペクトル関数
5. 限界と注意点
「共鳴が反強磁性相互作用に由来する」という解釈は、ARPESスペクトルの温度依存性との対応から導かれており、反強磁性秩序の直接証拠(中性子回折や
6. 関連研究との比較
AV₃Sb₅系(CsV₃Sb₅等)やRV₆Sn₆系の研究で確立された、カゴメ金属の平坦バンド・ファン・ホーフ特異点・ディラック点という三重構造の枠組みを、二層系・磁性カゴメ金属へと拡張した点が本研究の位置づけである。CsCr₃Sb₅や関連系ではフェルミ面の観測が進んでいるが(2603.18672など同日の論文も参照)、二重項の「共鳴」という動的な多体効果の観測は本研究が初めてとなる。磁性と平坦バンド物理の絡み合いは、コバルトカゴメ系(Co₃Sn₂S₂)でも議論されているが、二層カゴメ構造という新しいプラットフォームを提供した点で独自性がある。Nature Communicationsへの受理はこの新規性と結果の品質を保証するものといえる。
7. 重要キーワードの解説
1. カゴメ格子(kagome lattice) 角共有三角形が並ぶ2次元格子。各サイトの配位数が4で、幾何学的フラストレーションが強い。バンド構造において
2. 平坦バンド(flat band) 運動量
3. 平坦バンド二重項(flat band doublet) 二層カゴメ構造において、上下二枚のカゴメ層が層間結合
4. ARPES(角度分解光電子分光) 光子エネルギー
5. スペクトル強度の増強(spectral weight enhancement) 多体相互作用が発達するとき、特定の
6. ハイブリダイゼーション(hybridization) 異なるバンド(または状態)が混成すること。平坦バンドと分散バンドがk空間で交差する付近でハイブリダイゼーションが起きると、アンチクロッシング(避け交差)が生じ、ギャップが開く。本研究では低温でのアンチクロッシング増大が「共鳴」として観測された。
7. 反強磁性相関(antiferromagnetic correlations) 最近接スピンが反平行に配列する傾向。カゴメ格子では幾何学的フラストレーションが完全な反強磁性秩序を妨げうるが、短距離の反強磁性相関は温度を下げるにつれて発達する。この短距離相関が平坦バンド二重項の共鳴に関与することが本研究の主張。
8. 近藤効果(Kondo effect) 局在磁気モーメント(例えば
9. ファン・ホーフ特異点(van Hove singularity) 状態密度
10. 幾何学的フラストレーション(geometrical frustration) 三角形や四面体などの格子構造において、全ての相互作用を同時に最小化できないために基底状態が高度に縮退する現象。カゴメ格子の平坦バンドはこのフラストレーションに起因する量子干渉の産物であり、多体効果の種として機能する。
8. 図
本論文はarXiv非独占的配布ライセンス(arXiv nonexclusive-distrib)のため、原図の抽出・掲載は行わない。
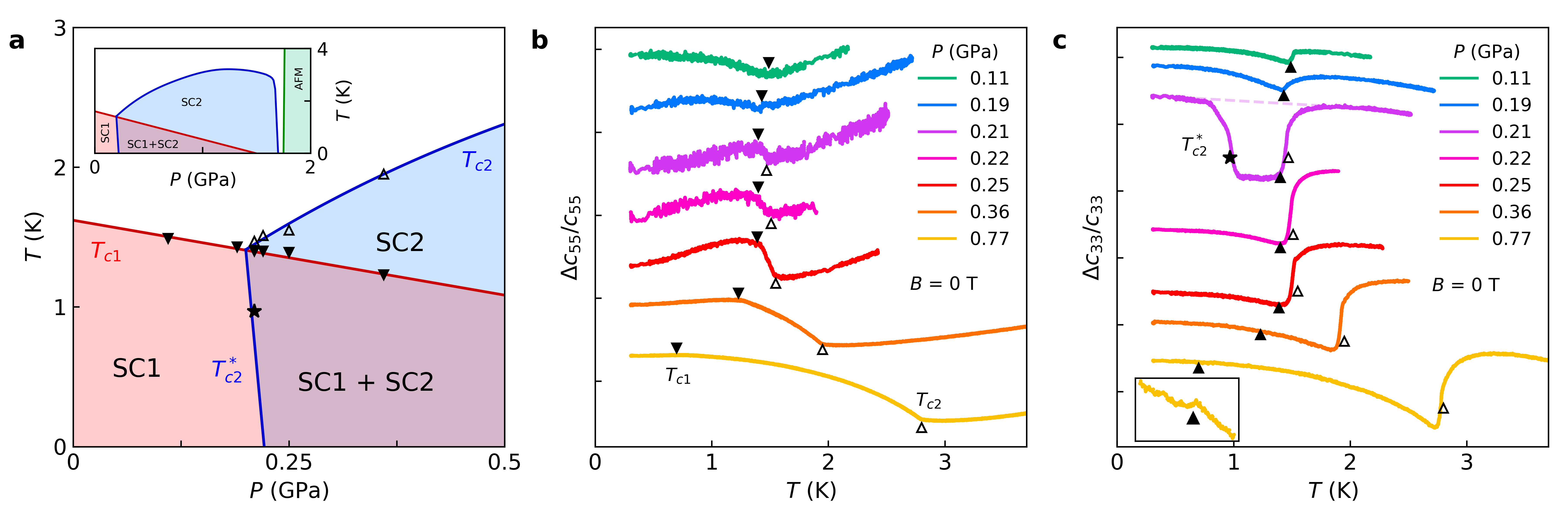
UTe₂の四臨界点と多成分超伝導の熱力学的発見
1. 論文情報
タイトル: Thermodynamic Discovery of Tetracriticality and Emergent Multicomponent Superconductivity in UTe₂著者: Sahas Kamat, Jared Dans, Shanta Saha, Artem D. Kokovin, Johnpierre Paglione, Jörg Schmalian, B. J. Ramshaw arXiv ID: 2603.17905 カテゴリ: cond-mat.supr-con 公開日: 2026年3月18日 論文タイプ: 実験論文(パルスエコー超音波分光・圧力下測定)+ 理論解析 ライセンス: CC BY 4.0
2. どんな研究か
ウラン化合物UTe₂は、スピン三重項トポロジカル超伝導体の有力候補であり、多成分超伝導秩序パラメータの実現が長年議論されてきた。本研究はパルスエコー超音波分光を用い、圧力・磁場・温度の三次元相図を精密に決定することで、UTe₂が「四臨界点(tetracritical point)」を持つことを熱力学的に発見した。この四臨界点においてSC1・SC2という二つの超伝導相が合流し、その競合から真の多成分超伝導が創発することを示した。この結果はUTe₂の超伝導が非アーベル的エニオン(マヨラナ粒子)を宿しうるトポロジカル多成分状態であるという解釈を、熱力学的側面から強力に支持する。
3. 研究の概要
背景と目的
UTe₂はスピン三重項超伝導体の有力候補として2019年に発見されて以来、Tc(最大~20 K at pressure)が比較的高く、複数の超伝導相(SC1とSC2)が磁場・圧力下で競合することが磁気・輸送・NMR測定から示唆されてきた。しかし、SC1とSC2の関係が「二つの独立した超伝導相が圧力で交代する」のか「多成分秩序パラメータが共存する単一多成分相から相分離する」のかが未解決であった。特に、SC1とSC2が同一の相図内でどのように接続されるかを熱力学的に確定することが急務であった。
解こうとしている物理問題
UTe₂の圧力-磁場-温度相図において、SC1相とSC2相がどのような臨界点で接続されるか。単純な一次転移でも二次転移でもなく、四臨界点(tetracritical point)という特殊な多臨界構造が存在するか否か。また、SC1/SC2境界がSC12(多成分混合相)を経由するか、それとも直接的な一次相境界であるかを熱力学的に判定する。
対象材料系
UTe₂単結晶。ウランを含む重い電子系の強相関化合物。空間群
材料創製法・構造制御法
高品質単結晶(flux法または化学的気相輸送法で作製)を圧力セルに封入し、静水圧下(0〜2 GPa程度)で測定。圧力はUTe₂のSC1-SC2相境界を調整する主要な外部パラメータ。
主な測定手法
パルスエコー超音波分光(pulse-echo ultrasound spectroscopy)。二種類の弾性定数
主な結果
- 圧力
(四臨界圧力)において、 の特異な音速異常が検出された。 - この圧力でSC1・SC2の相境界が一点に収束する四臨界点が確認された。
- 四臨界点周辺では、SC1とSC2の秩序パラメータが強く競合し、その競合によってSC1相への再入り(re-entrance)が駆動される。
- 磁場-温度相図を複数の圧力で取得し、三次元(
- - )相図を構築。SC1・SC2の相境界が二つの面として描かれ、四臨界点はその交線上の特異点として位置づけられた。 - 理論的には、二つの競合する秩序パラメータ
(SC1)・ (SC2)を持つGinzburg-Landauモデルで記述され、 の結合定数が正(反発的競合)の場合に四臨界点が生じることを示した。
著者の主張
UTe₂は単一の超伝導秩序パラメータを持つ系ではなく、SC1とSC2という本質的に異なる多成分超伝導秩序が競合・共存する系である。四臨界点の発見は、この多成分性が熱力学的に確立された証拠であり、UTe₂が時間反転対称性を自発的に破る(
4. 量子物性・材料工学として重要なポイント
本研究の本質は、スピン三重項超伝導体UTe₂の秩序パラメータ空間の構造を弾性率測定という熱力学的プローブで解明した点にある。関連する量子自由度はUraniumu
5. 限界と注意点
超音波測定は弾性異常を検出するが、秩序パラメータの対称性(スピン三重項か一重項か、軌道対称性は何か)を直接同定するわけではない。SC1・SC2の内部構造(ギャップ関数の形状、スピン状態)の確定にはNMR奈良特・熱伝導・中性子回折・ポーラライズド中性子回折などの補完的実験が必要。また、四臨界点の位置(
6. 関連研究との比較
UTe₂の超伝導は2019年のRanほかによる発見以来、磁化・NMR・比熱・輸送・中性子散乱・STMなど多数の手法で研究されてきた。SC1とSC2の存在は2021〜2022年の圧力下比熱測定(TaminatほかやAishwaryaほか)で示唆されたが、相図の接続形式は不明確であった。本研究は超音波という感度の高い熱力学プローブを用い、三次元相図を一貫した実験から構築した点で先行研究を大きく前進させている。同時期に発表された2603.17710(UTe₂の電子-正孔散乱二色性)や2601.02192(準粒子干渉)と合わせると、UTe₂研究の集中的な加速が見られる。トポロジカル超伝導という文脈では、Sr₂RuO₄の多成分論争と類似した問いを立てているが、UTe₂はより高いTcと明確な三重項指標を持つ点で研究上の優位性がある。
7. 重要キーワードの解説
1. スピン三重項超伝導(spin-triplet superconductivity) クーパー対がスピン一重項(
2. 四臨界点(tetracritical point) 二種類の異なる対称性破れ(ここではSC1とSC2)の相境界が一点に収束する多臨界点。各相境界が二次転移である場合に生じる。四臨界点近傍では強いゆらぎと臨界発散が現れ、弾性定数や比熱に特徴的な異常を与える。ビクリティカル点(bicritical)との違いは、四臨界点では両相が互いに斥力的相互作用をもち共存しない点にある。
3. 多成分超伝導秩序パラメータ(multicomponent superconducting order parameter) 超伝導が単一の複素スカラー場
4. パルスエコー超音波分光(pulse-echo ultrasound spectroscopy) 高周波音波パルスを試料に入射し、反射エコーの位相・振幅から弾性定数
5. 弾性定数
6. 重い電子系(heavy fermion system)
7. Ginzburg-Landau自由エネルギー(Ginzburg-Landau free energy) 超伝導転移付近での自由エネルギー展開
8. 再入り超伝導(re-entrant superconductivity) 温度を下げると超伝導転移が起き、さらに低温で一度正常相に戻り、その後再び超伝導に入る現象。あるいは磁場印加で一旦消えた超伝導が高磁場で再現する場合も指す。UTe₂では圧力・磁場の関数として複雑な再入り的相図が現れており、SC1とSC2の競合の表れである。
9. トポロジカル超伝導(topological superconductivity) バルクにエネルギーギャップを持ちながら、試料端やボルテックスコアに保護されたゼロエネルギー束縛状態(マヨラナ零モード)が現れる超伝導。時間反転対称性の自発的破れを伴う多成分超伝導(
10. マヨラナ零モード(Majorana zero mode) 反粒子が自身と同一(
8. 図

**図1:UTe₂の提案された温度-圧力相図。**SC1(低圧相)とSC2(高圧相)の相境界が四臨界点(黒星印)に向かって収束する様子を示す概念図。超音波測定以前は、この特殊な多臨界点の存在が未確定であった。四臨界点において二つの超伝導秩序パラメータの競合が最も激しくなり、多成分超伝導状態の創発が熱力学的に要求される。(CC BY 4.0、Kamat et al., arXiv:2603.17905)

**図2:UTe₂の四臨界点近傍の相図と弾性定数測定。**異なる圧力下における

**図3:固定圧力における磁場-温度相図。**複数の圧力値でのSC1・SC2の磁場-温度相境界(それぞれ
量子異常ホール絶縁体における磁気秩序の実空間イメージング
1. 論文情報
タイトル: Magnetic Order in Quantum Anomalous Hall Insulator著者: Andriani Vervelaki, Boris Gross, Daniel Jetter, Markus Trupke, Sara Kuhlmann, Toshihiro Sato, Shunsuke Ohya, Masaaki Tanaka, Martino Poggio arXiv ID: 2603.18906 カテゴリ: cond-mat.mtrl-sci, cond-mat.mes-hall 公開日: 2026年3月19日 論文タイプ: 実験論文(走査型SQUIDオンチップ顕微鏡・AFM・磁気リコンストラクション) ライセンス: CC BY 4.0
2. どんな研究か
量子異常ホール効果(QAHE)を示すV添加(Bi,Sb)₂Te₃薄膜において、磁化反転過程でのナノスケール磁気構造を走査型SQUIDオンチップ顕微鏡で直接観察した実験研究である。局所的な磁化反転は結晶学的グレイン内の短距離磁気相互作用と、グレイン間をまたぐ長距離強磁性結合が共存することで説明されることを示した。この二つの磁気秩序スケールの共存が、QAHE観測時に見られる「不完全な量子化」や不均一なコエルシビティの起源を材料学的に説明し、QAHEデバイスの性能改善に向けた材料設計指針を与える。
3. 研究の概要
背景と目的
QAHEはトポロジカル絶縁体に磁気秩序を導入(磁性元素の添加)することで実現されるゼロ磁場での量子化ホール効果である。V添加(Bi₁₋ₓSbₓ)₂Te₃(VBST)薄膜はその代表的な実験系であり、低温(~1 K)でChern数
解こうとしている物理問題
VBST薄膜の磁化反転がどのように局所的に進行するか。グレイン境界・結晶欠陥・組成不均一性に起因する局所磁場分布と、巨視的なヒステリシスとの対応を明らかにする。また、「局所磁気相互作用(グレイン内)」と「長距離強磁性結合(グレイン間)」がどのように共存するかを定量的に示す。
対象材料系
V₀.₁₅(Bi₁₋ₓSbₓ)₁.₈₅Te₃薄膜。MBE法で作製した5〜10 nmの薄膜。SrTiO₃基板上。VがBi/Sbサイトを置換し、局在磁気モーメントを導入する。バルクの磁気秩序は強磁性的であるが、薄膜では化学的不均一性やVの空間的偏析が問題になる。
材料創製法・構造制御法
分子線エピタキシー(MBE)による薄膜成長。V添加量、Bi/Sb比、基板温度、成長速度が薄膜の磁気性質に影響。一部の試料はキャッピング層なし(uncapped)でAFM測定に使用。
主な測定手法
- 走査型SQUIDオンチップ顕微鏡(scanning SQUID-on-chip microscopy):薄膜直上でナノスケールの磁束(
)を面内磁場走査で非破壊に測定。空間分解能 ≈ 150 nm。 - 原子間力顕微鏡(AFM):表面形態(グレイン・テラス)の観察。
- 磁化リコンストラクション:測定した磁気浮遊磁場から反転問題を数値解法で解き、磁化の2Dマップを再構成。
主な結果
- 磁場掃引に伴う
マップで、磁化反転が不均一に進行することを直接観察。 - コエルシビティ付近では、特定の局所領域が先に反転し(ニュークレーション)、周囲へ伝播(ドメイン拡大)する過程が可視化された。
- リコンストラクションにより、反転した領域の境界がAFMで測定したグレイン境界と強く相関することを確認。
- グレイン内:局所的な交換相互作用が短距離磁気秩序を形成。
- グレイン間:長距離の強磁性的双極子結合が全体のコヒーレンスを支える。
- この二スケールの磁気秩序が共存することで、部分的な磁化反転状態(雑音的中間状態)が生じ、QAHE量子化の不完全性と関連すると解釈された。
著者の主張
VBST薄膜の磁化反転は、グレイン内短距離相互作用とグレイン間長距離結合という二種類の磁気秩序が共存することで支配される。この材料学的な磁気不均一性がQAHE状態の「不完全な量子化」に直結しており、高品質QAHE実現には結晶グレイン構造の均一化が本質的な改善指針になる。
4. 量子物性・材料工学として重要なポイント
量子異常ホール効果はバンドトポロジー(Chern数)と磁気秩序(交換場によるバンド反転)の結合から生じるが、その実際の観測精度は磁気ミクロ構造の均一性に強く依存する。本研究はこの「量子効果と材料微細構造の関係」を磁気イメージングで直接可視化した点に核心がある。走査型SQUIDは数百ナノメートルの空間分解能で磁気浮遊磁場を感度高く測定でき(感度
5. 限界と注意点
SQUIDイメージングの空間分解能(〜150 nm)はグレイン内の微細な磁気構造を完全には解像できない可能性があり、よりサブ100 nm分解能の測定(例:窒素欠陥中心(NV)磁気イメージング)による補完が理想的。磁化リコンストラクションは逆問題であり、解の一意性は仮定する磁化分布モデルに依存する。また、測定は低温(QAHEが観測される温度域近傍)で実施されていると推定されるが、温度依存した磁区構造の変化と輸送測定結果との直接対応付けは論文内でどこまで示されているかを確認が必要。VBST以外のQAHE系(MnBi₂Te₄等)への一般化可能性も、グレイン構造が根本的に異なる系では自明でない。
6. 関連研究との比較
V添加TI薄膜のQAHEは2013年の最初の観測(Changほか、Science)以来、輸送測定を中心に研究が進んできた。磁気イメージングを用いたQAHE薄膜の磁区研究は近年増加しているが、走査型SQUIDによるナノスケール磁気浮遊磁場の定量的リコンストラクションと、AFMによるグレイン構造との直接比較を組み合わせた研究は本論文が先駆的である。MnBi₂Te₄系における磁区観察研究(Deng, Liu, et al. 2020)と比較すると、VBSTはグレイン構造が顕著であり、この材料学的特性が量子効果に与える影響の定量評価という点で異なる貢献をしている。長距離・短距離磁気秩序の共存という概念は、CDW系や量子スピン液体における秩序の共存議論と類比的であり、トポロジカル系の磁気不均一性研究の普遍的枠組みを提供する。
7. 重要キーワードの解説
1. 量子異常ホール効果(quantum anomalous Hall effect, QAHE) ゼロ磁場でChern数
2. トポロジカル絶縁体(topological insulator) バルクはバンドギャップを持つ絶縁体でありながら、表面(端)にはスピン運動量ロッキングしたディラック型の金属状態が存在する物質。時間反転対称性によって保護されており、Bi₂Se₃、Bi₂Te₃、(Bi₁₋ₓSbₓ)₂Te₃が代表例。磁性添加でQAHEが実現する。
3. Chern数(Chern number) ブリルアンゾーン全体にわたるベリー曲率の積分
4. 走査型SQUIDオンチップ顕微鏡(scanning SQUID-on-chip microscope) 超伝導量子干渉素子(SQUID)を微小チップ上に集積し、試料表面を走査して磁気浮遊磁場を高感度で2次元マッピングする装置。感度は
5. 磁化リコンストラクション(magnetization reconstruction) 測定した磁気浮遊磁場
6. 磁区(magnetic domain) 磁化が同一方向に揃った均一な領域。隣接する磁区の間には磁壁(domain wall)が存在し、磁化が徐々に方向を変える。外部磁場の変化により磁区は核生成・成長・消滅を繰り返す(ヒステリシス)。磁区の空間スケールは交換相互作用・磁気異方性・双極子相互作用のバランスで決まる。
7. グレイン境界(grain boundary) 多結晶薄膜において結晶方位が異なる粒(グレイン)が接する界面。原子配列の不整合により局所的な欠陥・歪み・化学的偏析が生じる。磁性系ではグレイン境界が磁壁のピン止め点(ピニングサイト)として機能し、コエルシビティを増大させる。QAHEではグレイン均一性が輸送特性の均質性に影響する。
8. コエルシビティ(coercivity, 保磁力) 磁化を反転させるのに必要な外部磁場の強さ。材料の磁気異方性・欠陥密度・磁区サイズに依存する。局所的なコエルシビットの不均一性は磁化反転の空間的不均一性(部分的反転状態)をもたらし、輸送特性のヒステリシス形状を決める。
9. カイラルエッジ状態(chiral edge state) QAHE(またはQHE)で試料端に現れる1次元の伝導チャネル。電流は一方向のみに流れ(chirality)、バックスキャッタリングがない。Chern数
10. 交換相互作用(exchange interaction) 電子の波動関数の重なりと泡立て原理から生じるスピン間の実効的相互作用
8. 図

**図1:VBST薄膜の磁場掃引に伴う

**図2:コエルシビティ磁場における磁化パターンのリコンストラクション。**測定した

図3:表面形態(AFM)とリコンストラクション磁化マップの比較。(a)AFMで測定したVBST薄膜の高さマップ(グレインとグレイン境界が可視化)。(b)対応する磁化リコンストラクション結果。グレイン境界(AFMで検出)と磁区境界(磁化マップで検出)の空間的対応関係が明確に示される。グレイン内では均一な磁化方向が維持され(短距離秩序)、グレイン間は長距離双極子結合でコヒーレンスを保つという二スケール磁気秩序の直接的証拠。(CC BY 4.0、Vervelaki et al., arXiv:2603.18906)
第二部:その他の重要論文
強誘電体p波磁石:電気的に切り替わるスピン偏極状態
1. 論文情報
タイトル: Ferroelectric
2. 研究概要
強誘電秩序と磁気秩序の結合(マルチフェロイクス)は低消費電力エレクトロニクスへの応用が期待されながら、時間反転対称性(TRS)を壊さずにスピン分裂を実現する材料系は乏しかった。本研究はスピン・磁気群理論を用い、非共線的な反強磁性配列をもつ強誘電体において時間反転対称なp波(およびf波)スピン偏極絶縁状態が実現できることを示した。対称性分類によりCrystalline-, Exchange-, SOC-driven の三種の極性対称性破れ機構を同定し、50種超の候補材料リストを作成した。第一原理計算によりGdMn₂O₅がTRSを保ちながら純粋なp波スピン偏極バンド構造を持ち、自発分極の反転(電場印加)によってスピン偏極の方向をスイッチできることを示した。
このp波磁石という新概念は、TRSを保ちながらもk空間で異なるスピン縮退を持つ「アルターマグネティズム(altermagnetism)」の拡張として位置づけられ、マルチフェロイクス材料設計に新しい自由度を与える。強誘電スイッチングとスピン偏極の連動という機能は、超低消費電力スピントロニクスデバイス(強誘電スピンバルブ・強誘電スピンFET)への道を開く。候補材料GdMn₂O₅は既知の実験系であり、実験的検証が容易な点も重要である。
3. 重要キーワードの解説
1. p波磁石(p-wave magnet) 運動量空間でp波的(
2. アルターマグネット(altermagnet) TRSを保ちネット磁化がゼロながら、k空間でスピン分裂するバンド構造を持つ新規磁性体クラス。d波・g波・i波型などがある。
3. 強誘電体(ferroelectric) 外部電場なしに自発電気分極を持ち、電場で分極方向を反転できる物質。BiFeO₃、BaTiO₃、GdMn₂O₅などが例。
4. 非共線的反強磁性(noncollinear antiferromagnetism) スピンが単一軸に沿わず、複数方向に配列する反強磁性。ネット磁化はゼロだが、スピン配置の空間パターンが対称性を低下させる。
5. マルチフェロイクス(multiferroics) 強誘電・強磁性(または反強磁性)など複数の秩序が共存する物質。電気-磁気結合(magnetoelectric coupling)が機能性の鍵。
6. スピン群理論(spin group theory) スピン空間操作と結晶空間操作を独立に扱う対称性の枠組み。TRS保持下でのスピン分裂の分類に用いる。
7. 第一原理計算(first-principles calculation) 経験的パラメータを用いず電子構造を計算する手法。密度汎関数理論(DFT)+スピン軌道結合を含めた計算でバンド構造を評価。
8. 電気的スイッチング(electrical switching) 電場によって物性を変化させること。強誘電スイッチング(分極反転)によりスピン偏極方向を反転できることが本研究の核心。
9. スピン偏極(spin polarization) あるk点での電子のスピン方向の偏り度合い。
10. 極性対称性破れ(polar symmetry breaking) 結晶の空間反転対称性(
4. 図
本論文はarXiv非独占的配布ライセンスのため、原図の抽出・掲載は行わない。
LSMO/SROスーパーラティスにおける界面磁気結合とスピンダイナミクス
1. 論文情報
タイトル: Interface magnetic coupling and magnetization dynamic of La₂/₃Sr₁/₃MnO₃ single layer and (La₂/₃Sr₁/₃MnO₃/SrRuO₃)ₙ (n = 1, 5) superlattice on SrTiO₃(001) substrate著者: Ilyas Noor Bhatti, Rachna Chaurasia, Kazi Rumanna Rahman, Sukhendu Sadhukhan, Amantulla Mansuri, Imtiaz Noor Bhatti arXiv ID: 2603.19179 カテゴリ: cond-mat.str-el, cond-mat.mtrl-sci 公開日: 2026年3月19日 論文タイプ: 実験論文(薄膜成長・XRD・XPS・FMR・磁化測定) ライセンス: CC BY 4.0
2. 研究概要
La₂/₃Sr₁/₃MnO₃(LSMO)は強磁性金属ペロブスカイトの代表系、SrRuO₃(SRO)は弱強磁性金属ペロブスカイトであり、両者はRu-Mnの界面において交換結合が生じる。本研究はSrTiO₃(001)基板上にMBE法またはPLDで成長させたLSMO単層膜・[LSMO/SRO]₁二層膜・[LSMO/SRO]₅五層超格子を作製し、XRD・XRR・AFM・XPSで構造・組成を評価の上、磁化測定(SQUID VSM)とFMR(強磁性共鳴)でスピンダイナミクスを詳細に調べた。五層超格子では室温においても界面Ru-Mn交換結合に由来する「二段階磁化反転(two-step switching)」が明確に現れ、単層に比べてギルバートダンピング定数
この界面交換結合と繰り返し積層によるスピンダイナミクス改善の結果は、LSMO/SROへテロ構造のスピントロニクスデバイスへの応用(スピンバルブ・スピン注入源・磁気メモリ)に直接的な設計指針を提供する。特に積層数
3. 重要キーワードの解説
1. La₂/₃Sr₁/₃MnO₃(LSMO) Mnサイトが混合原子価(Mn³⁺/Mn⁴⁺)のペロブスカイト強磁性金属。二重交換相互作用によりTc ≈ 370 Kの強磁性。100%スピン偏極キャリアを持ちスピントロニクスに有望。
2. SrRuO₃(SRO) ペロブスカイト型金属的強磁性体(Tc ≈ 160 K)。Ru 4d電子が伝導に寄与。SOCが大きく、巨大な異常ホール効果を示す。強磁性電極として利用。
3. 界面交換結合(interfacial exchange coupling) LSMO/SRO界面でMnとRuのd電子が直接または超交換を通じて結合する磁気相互作用。強磁性的または反強磁性的。界面原子層の秩序と乱れに敏感。
4. 二段階磁化反転(two-step magnetization switching) 磁化-磁場曲線(M-H曲線)で二段階のスイッチングが現れる現象。LSMO層とSRO層のコエルシビティが異なるため、各層が独立に反転する。界面交換結合があるとこの反転が変調される。
5. ギルバートダンピング定数(Gilbert damping constant,
6. 強磁性共鳴(ferromagnetic resonance, FMR) マイクロ波磁場が強磁性体の歳差周波数に共鳴する現象。共鳴磁場からキッテル式で有効磁気異方性を、線幅から
7. X線回折・反射率(XRD/XRR) XRDでペロブスカイト(001)配向と格子定数を、XRRで積層周期・界面ラフネス・膜厚を評価する。スーパーラティスでは周期に由来するサテライトピークが現れ界面品質を反映する。
8. キッテル式(Kittel formula) FMRの共鳴磁場
9. 二重交換相互作用(double exchange interaction) LaMnO₃にSrをドープしてMn³⁺-Mn⁴⁺混合原子価を導入すると、酸素サイトを介して電子がホッピングしながら平行スピン(強磁性)を促進する相互作用。LSMOの強磁性の主要機構。
10. 積層周期(superlattice period) 超格子の単位セル繰り返し数
4. 図

図1:LSMO/STO単層膜および[LSMO/SRO]₅超格子のX線構造評価。(a,b)

図2:AFMによる表面形態の観察。(a)LSMO/STO単層膜、(b)[LSMO/SRO]₁二層膜の表面形態画像と線プロファイル(c,d)。ステップ・テラス構造が確認され、界面ラフネスが小さいことを示す。表面品質が磁気特性と界面結合の強度に直結するため、材料設計上の重要指標。(CC BY 4.0、Bhatti et al., arXiv:2603.19179)

図3:各試料の等温磁化測定(300 K・150 K・50 K)。(a)LSMO/STO単層、(b)[LSMO/SRO]₁、(c)[LSMO/SRO]₅の
レーザー光電子分光によるカゴメ金属CsCr₃Sb₅のフェルミ面観測
1. 論文情報
タイトル: Fermi Surface of Kagome Metal CsCr₃Sb₅ Observed by Laser Photoemission Microscopy著者: Hayate Kunitsu, Iori Ishiguro, Natsuki Mitsuishi, Shunsuke Tsuda, Koichiro Yaji, Zehao Wang, Pengcheng Dai, Yoichi Yamakawa, Hiroshi Kontani, Takahiro Shimojima arXiv ID: 2603.18672 カテゴリ: cond-mat.str-el 公開日: 2026年3月19日 論文タイプ: 実験論文(レーザーARPES・DFT計算) ライセンス: CC BY 4.0(arXiv HTML非対応のため原図抽出不可)
2. 研究概要
CsCr₃Sb₅はAV₃Sb₅型カゴメ金属(A = Cs, Rb, K)ファミリーの亜族であり、電荷密度波(CDW)や超伝導を示さない磁性カゴメ金属として近年注目されている。本研究はレーザーARPES(光電子分光顕微鏡)を用い、CsCr₃Sb₅のフェルミ面を精密に決定し、DFT計算と比較した。実験と計算の対応を通じて、フェルミ面のトポロジーがCr 3d電子の軌道自由度に強く依存することを明らかにした。またバンド分散の詳細から軌道依存の電子相関の強さを推定し、Cr 3d系でも軌道選択的なメット転移的振る舞いが生じうることを示唆する。
CsCr₃Sb₅のフェルミ面が精密に決定されたことで、CDW・超伝導が抑制されている原因のバンド構造的理解が深まる。AV₃Sb₅系と直接比較することで「カゴメ金属のどの電子構造因子がCDW・超伝導を支えるか」という問いへの答えに近づく。またCr 3d系固有の軌道選択的相関効果の検出は、カゴメ格子における強相関物理の新側面を開く。
3. 重要キーワードの解説
1. CsCr₃Sb₅ Cs原子間にCr₃Sb₅層が積層した準2次元カゴメ金属。CsV₃Sb₅と同型構造だがCr 3d電子系。CDW・超伝導を示さず磁性的。
2. レーザーARPES(laser ARPES) 真空紫外レーザー(
3. フェルミ面(Fermi surface) 運動量空間でフェルミエネルギー
4. 軌道選択的相関(orbital-selective correlation) 複数の軌道(例:
5. ファン・ホーフ特異点(van Hove singularity) 状態密度の発散点。カゴメ格子では
6. DFT計算との比較 局所密度近似(LDA)またはGGA+Uに基づくバンド計算結果と実験ARPESを対比することで、相関効果の大きさ(バンドの繰り込み係数
7. カゴメ金属(kagome metal) カゴメ格子を持つ金属系の総称。平坦バンド・ディラック点・ファン・ホーフ特異点が共存し、電子相関・トポロジー・超伝導・CDWが競合する舞台。
8. 軌道自由度(orbital degree of freedom)
9. バンドの繰り込み(band renormalization) 電子-電子相互作用によって群速度(バンド傾き)が抑制される効果。繰り込み係数
10. Cr 3d系カゴメ(Cr-based kagome) Vを含むAV₃Sb₅と違い、Cr 3d電子は局在傾向が強く磁性を持ちやすい。磁性と平坦バンドの共存というカゴメ金属の新局面を代表する系。
4. 図
本論文はCC BY 4.0ライセンスだが、arXivのHTML版が利用不可のため原図の抽出ができなかった。
ドープ5d²二重ペロブスカイトにおけるポーラロン駆動八極子秩序スイッチング
1. 論文情報
タイトル: Polaron-Driven Switching of Octupolar Order in Doped 5d² Double Perovskite著者: Dario Fiore Mosca, Lorenzo Celiberti, Leonid V. Pourovskii, Cesare Franchini arXiv ID: 2603.18155 カテゴリ: cond-mat.str-el 公開日: 2026年3月18日 論文タイプ: 理論・計算論文(DFT+SO・平均場モデル・ポーラロン超セル計算) ライセンス: CC BY 4.0
2. 研究概要
5d² オスマウム二重ペロブスカイトBa₂CaOsO₆(BCOO)はスピン軌道相互作用(SOC)が支配的な
多極子秩序(特に四極子・八極子)の制御は、電気磁気多極子効果・非従来型の電磁応答・隠れた対称性破れの誘起など、先端的な量子機能材料開発のフロンティアに位置する。本研究が示した「ポーラロンによる八極子スイッチング」は、
3. 重要キーワードの解説
1.
2. 磁気八極子(magnetic octupole) 磁気多極展開の三次モーメント
3. 小ポーラロン(small polaron) 電荷キャリアが格子変形(フォノン雲)を引き連れて局在した準粒子。ホッピングはフォノン援助的で活性化型。格子変形がキャリアを捕捉し(格子の自己トラッピング)、電子-格子相互作用が強い系(ペロブスカイト酸化物等)で典型的。
4. ポーラロン結晶場(polaron crystal field) ポーラロン格子変形に由来して生じる追加の結晶場。
5. 超交換相互作用(superexchange, inter-site exchange interaction, IEI) 直接重なりのない
6. 平均場モデル(mean-field model) 量子多体問題で各サイトの秩序パラメータ(ここでは八極子
7. 強秩序型八極子 vs 反強秩序型八極子(F
8. DFT+SO(DFT with spin-orbit coupling) スピン軌道相互作用を含む第一原理計算。5d系では相対論効果が本質的で、DFT+SOは基底状態の電子構造を正確に記述するために必須。
9. 二重ペロブスカイト(double perovskite, A₂BB'O₆) ABO₃ペロブスカイトのB/B'サイトが規則的に交替する構造。Ba₂CaOsO₆はA=Ba, B=Ca, B'=Osの例。B'/Bの岩塩型規則配列がイオンの局所対称性を高め多極子秩序を促進。
10. スイッチング(switching) 外部刺激(ドーピング・電場・温度・磁場・圧力)によって物性の状態を切り替えること。本研究では化学的ドーピング(Na添加)が八極子秩序の種類(F
4. 図

**図1:

図2:ポーラロン超セルと交換相互作用の計算結果。(a)ポーラロン超セルの模式図。

図3:ドーピングに伴う八極子秩序転移の変化。(a)Ba₂Ca₁₋δNaδOsO₆のF
2次元強相関半金属における空間的間接励起子凝縮
1. 論文情報
タイトル: Spatially Indirect Exciton Condensation in Two-Dimensional Strongly Correlated Semimetals著者: Yao Zeng, Shi-Cong Mo, Wéi Wú arXiv ID: 2603.18445 カテゴリ: cond-mat.str-el 公開日: 2026年3月19日 論文タイプ: 理論・計算論文(DMFT+QMC・ハバードモデル) ライセンス: CC BY 4.0
2. 研究概要
遷移金属カルコゲナイド1T-TiSe₂やTa₂NiSe₅は「励起子絶縁体(excitonic insulator)」の候補として注目されているが、強いクーロン相関(
この研究は強相関励起子凝縮という新しい理論的枠組みを確立した点で重要である。励起子絶縁体の転移温度制御には、Uの大きさ(化学組成・酸化状態のチューニング)とバンドオーバーラップ(歪み・圧力・組成制御)が鍵となることを示しており、これらを材料パラメータとして意図的に調整することで
3. 重要キーワードの解説
1. 励起子絶縁体(excitonic insulator) バンドオーバーラップが小さな半金属(またはバンドギャップが小さな半導体)で、伝導帯電子と価電子帯正孔の引力相互作用(クーロン力)が運動エネルギーを上回ってクーパーペア的な束縛状態(励起子)を形成し、自発的に凝縮した状態。
2. 空間的間接励起子(spatially indirect exciton) 電子と正孔が空間的に異なるサブ格子・層・オービタルに局在した状態で形成する励起子。空間的直接励起子(同一サブ格子)と対比される。1T-TiSe₂ではTi-Se間の空間的分離が「間接性」を生む。
3. DMFT(動的平均場理論, dynamical mean-field theory) 格子問題を有効単サイト問題(Anderson不純物モデル)に写像し、自己エネルギーの局所近似
4. ハバードU 同一サイトに二電子が占有するときのクーロン反発エネルギー
5. 量子モンテカルロ(QMC) 虚時間経路積分をMonte Carloサンプリングで解く数値手法。DMFT補助不純物問題の厳密解法として用いる(CT-QMC等)。符号問題(sign problem)が強相関ドープ系では困難だが、半金属(電子-正孔対称)系では比較的軽微。
6. 電子-正孔ペアリングチャネル(electron-hole pairing channel) 複数のバンド・軌道・副格子が存在するとき、電子-正孔ペアが形成される組み合わせが複数ある。異なるチャネルが同時に競合すると、どのチャネルも凝縮温度を十分に高められない(フラストレーション効果)。
7. 1T-TiSe₂ Seの
8. Ta₂NiSe₅ NiとTaの鎖が交互に並ぶ半金属。~325 KでCDW様の構造転移を示し、励起子絶縁体の強力な候補とされる。多軌道・多バンドの複雑さを持つ。
9. バンドオーバーラップ(band overlap) 電子バンドの最小値が正孔バンドの最大値より低い(半金属的)オーバーラップ量
10. BCS-BEC クロスオーバー(BCS-BEC crossover) 弱結合(BCS:Cooper対の大きなコヒーレンス長)から強結合(BEC:小さな実空間束縛対の凝縮)への連続的な変化。励起子絶縁体はこのクロスオーバーの枠組みで理解されるが、強相関(大きなU)は両端のいずれにも収まらない新しい制度を開く。
4. 図

**図1:ハバードU依存の凝縮温度

図2:多軌道系における電子-正孔ペアリングチャネル間の競合。(三軌道モデルでの計算結果)複数のペアリングチャネル(軌道の組み合わせ)が競合するとき、それぞれが他を抑制し合い

**図3:相転移の温度依存性。**励起子秩序パラメータ(電子-正孔対凝縮の振幅)の温度依存性。Uが大きいほど相転移が二次から一次へ変化する傾向も示される。この相転移の性質の変化は実験的に観測可能な熱的異常(比熱ジャンプ・潜熱)と対応し、実験との比較指針を与える。(CC BY 4.0、Zeng et al., arXiv:2603.18445)
非磁性無秩序導入による量子臨界点への到達:(Ca,Sr)₃Rh₄Sn₁₃
1. 論文情報
タイトル: Reaching Quantum Critical Point by Adding Non-magnetic Disorder in Single Crystals of Superconductor (Ca_x Sr_{1-x})₃Rh₄Sn₁₃著者: Elizabeth H. Krenkel, Makariy A. Tanatar, Romain Grasset, Marcin Kończykowski, Shuzhang Chen, Cedomir Petrovic, Alex Levchenko, Ruslan Prozorov arXiv ID: 2603.17777 カテゴリ: cond-mat.supr-con, cond-mat.mtrl-sci 公開日: 2026年3月18日 論文タイプ: 実験論文(電子線照射・電気抵抗・ホール効果) ライセンス: CC BY 4.0
2. 研究概要
(Ca
この研究の重要性は「非磁性点欠陥が量子臨界点のチューニングパラメータとして機能する」という原理の実証にある。組成変化と等価な役割を欠陥密度が担えることで、同一組成の単結晶のみを使って量子相図を体系的に走査できる。
3. 重要キーワードの解説
1. 量子臨界点(quantum critical point, QCP) 絶対零度における連続相転移点。QCP近傍では量子ゆらぎが支配し、
2. 電荷密度波(CDW) 伝導電子の密度が空間的に周期変調した秩序状態。フェルミ面のネスティングやフォノン不安定性が起源。転移温度
3. 電子線照射(electron irradiation) 高エネルギー電子(2.5 MeV)を単結晶に照射し、原子をはじき出して点欠陥(フレンケル対)を均一に導入する手法。欠陥密度は照射量(C/cm²)で精密制御可能。導入される欠陥は非磁性であるため磁気的影響を排除できる。
4. プランク的散乱(Planckian dissipation) 輸送散乱時間
5. T線形抵抗率(
6. 残留抵抗率(residual resistivity,
7. CDW転移温度
8. ホール係数(Hall coefficient,
9. フレンケル対(Frenkel pair) 原子がはじき出されて格子間に入り、元の位置に空格子点が残った点欠陥対。電子線照射で導入される主要な欠陥種。非磁性で点状(短距離散乱体)のため、系の量子状態を化学的に変えず量子相図を純粋に走査するのに適している。
10. 超伝導
4. 図

**図1:照射前の(Ca

**図2:

図3:CDW転移温度と抵抗率指数の照射量依存性。(上段)各組成の
フェリ磁性体における直流電流駆動の可逆定常磁壁運動
1. 論文情報
タイトル: Reversible Steady Domain-Wall Motion Driven by a Direct Current著者: K. Y. Jing, X. R. Wang, H. Y. Yuan arXiv ID: 2603.18722 カテゴリ: cond-mat.mes-hall 公開日: 2026年3月19日 論文タイプ: 理論・マイクロ磁気シミュレーション論文 ライセンス: CC BY 4.0
2. 研究概要
磁壁(domain wall, DW)の電流駆動運動はレーストラックメモリ等の磁気メモリデバイスの中心的原理であるが、従来の強磁性体では電流の方向が固定されると磁壁も一方向にしか進まない。本研究はフェリ磁性体(二副格子反強磁性的結合で正味磁化がゼロに近い系)が角運動量補償点(AMCP)近傍にある場合、磁壁の慣性ダイナミクスが定常(steady)かつ可逆(reversible)な運動を可能にすることを理論的・マイクロ磁気的に示した。電流密度の大きさだけで磁壁の進む方向(順方向または逆方向)が制御でき、同一の直流電流から双方向の磁壁変位が引き出せることを3段階の運動レジームとして体系的に記述した。
この「電流強度で方向を制御できる磁壁」という原理は、従来の磁場・電流方向による制御とは本質的に異なる新しいスピントロニクス制御モードであり、低消費電力・高速・可逆な磁気メモリ・センサへの応用が期待される。フェリ磁性体の角運動量補償という特殊な材料条件(例:GdFeCo合金・希土類-遷移金属合金のGd/Fe比調整、または反強磁性的に結合した二層磁性薄膜)は、組成制御によって精密に調整できるため、材料工学的な実現可能性が高い。AMCPの存在と磁壁の慣性的ダイナミクスを組み合わせた設計は、反強磁性スピントロニクスの進展とも連携する。
3. 重要キーワードの解説
1. フェリ磁性体(ferrimagnet) 二つ以上の副格子が反平行に磁化しているが、副格子の磁化が等しくないため正味磁化がゼロにならない磁性体。GdFeCo・希土類-遷移金属合金が代表例。反強磁性に近い性質(低ストレイフィールド)と強磁性的な書き込みやすさを兼備。
2. 角運動量補償点(angular momentum compensation point, AMCP) フェリ磁性体において、二つの副格子のスピン角運動量の合計がゼロになる温度(または組成)。磁化補償点(MCP、正味磁化ゼロ)と区別される。AMCP近傍では磁気歳差の有効ジャイロ磁気比
3. 磁壁の慣性ダイナミクス(inertial dynamics of domain wall) 磁壁が電流(またはトルク)によって加速・減速する際に、慣性モーメントのような質量的な項が効く描像。反強磁性体またはAMCP近傍のフェリ磁性体ではこの慣性項が支配的となり、非線形な速度-電流関係が生じる。
4. 定常磁壁運動(steady domain-wall motion) 磁壁が一定の速度で連続的に進む状態。非定常運動(振動・停止・崩壊)と対比される。定常運動では磁壁の傾き角(チルト角)が固定され、Walkerブレークダウンを超えた安定な運動が可能。
5. 可逆磁壁運動(reversible domain-wall motion) 同一の外部駆動(この場合、電流の「強さのみ」)を変化させることで磁壁の進む方向を反転できること。電流の「符号」を変えることなく方向制御できる点が従来系との根本的違い。
6. スピン移送トルク(spin transfer torque, STT) 電流の伝導電子がスピン角運動量を磁化に移送することで発生するトルク。磁壁を駆動する主要な機構の一つ。
7. LLG方程式(Landau-Lifshitz-Gilbert equation) 磁化ダイナミクスの基礎方程式:
8. Walkerブレークダウン(Walker breakdown) 強磁性体において電流(または磁場)が臨界値を超えると磁壁の定常運動が崩れ、振動的不安定運動に移行する現象。AMCP近傍フェリ磁性体ではこれが拡張・変調される。
9. レーストラックメモリ(racetrack memory) 磁性ナノワイヤー中に多数の磁壁をシフトレジスター的に移動させてデータを読み書きする不揮発性メモリ概念(Parkin 2008)。高速・高密度・低消費電力が利点。磁壁の可逆制御は書き込み精度向上に直結。
10. 副格子間結合定数(inter-sublattice coupling constant) フェリ磁性体の二副格子間の交換結合
4. 図

図1:フェリ磁性体頭尾型磁壁と定常磁壁速度の模式図。(a)頭尾型(head-to-head)フェリ磁性体磁壁の構造模式図。(b)直流電流による定常磁壁速度の三つの運動レジーム(青・橙・緑領域)。電流密度

図2:各電流密度レジームでのポテンシャル地形とスピントルク解析。(a,b)

図3:磁壁速度-電流密度特性と応用提案。(左)AMCP近傍での磁壁速度